An Introduction to Quantum Entanglement
How does Quantum Entanglement work inside a Quantum Network?
How does Quantum Entanglement work inside a Quantum Network?
Click here for a downloadable pdf of this white paper.
This paper introduces the core concept of quantum entanglement and explains how entanglement-based quantum networks generate, extend, and maintain shared entanglement for use by quantum technologies.
Examples of quantum technologies include quantum computers, quantum sensors, and quantum networks. Each of these technologies harness quantum physics in order to achieve results that classical technology alone cannot.
Quantum physics is the branch of physics that describes the behavior on the scale of atoms and subatomic particles. There are many properties that arise in quantum physics that don't arise in classical physics. To understand how quantum technologies work, it helps to know a few uniquely quantum properties they rely on. These properties are what make quantum bits, or qubits, different from classical bits. Instead of voltages (classical bits), information is encoded in quantum states of photons, ions, atoms, or superconducting circuits (among others) which can exhibit unique quantum properties: superposition, quantum entanglement, measurement disturbance, and no-cloning. Quantum technology makes use of these quantum properties for greater performance and new capabilities that aren’t possible with classical technology.
Classical bits are the basic unit of information used by classical devices like your phone, your computer, and the internet. Quantum bits, or qubits, are the quantum version of classical bits: the basic unit of quantum information that quantum computers, quantum sensors, and quantum networks are built on.
Qubits are units of information, implemented as two-level quantum mechanical systems. There are many choices of two level quantum systems. In fact, several different types of qubits are being used by industry leaders in quantum computing today, each with their own pros and cons. Some examples include: photonic qubits, superconducting qubits, and trapped ion qubits, among others. There is currently (and might never be) only one best qubit to use for quantum computing. However, when it comes to quantum networking, we will exclusively use photonic qubits, in part because of their compatibility with existing networking infrastructure such as optical fiber.
Photons are particles of light. Photonic qubits are photons that have been encoded with information. It's important to note that although the qubits used by the network to connect devices together are photonic, the quantum devices on the network can use their preferred type of qubit locally. For example, a quantum network can interconnect a quantum computer using superconducting qubits with a quantum computer using trapped ion qubits.
There are many kinds of photonic qubits, and each comes with their own benefits and challenges. There are polarization-encoded photonic qubits, time-bin encoded photonic qubits, dual rail encoded photonic qubits, and many others. Choice of which type of photonic qubit is best suited for use in a quantum network depends on the goals of the network and the state of hardware.

While some quantum hardware components are required in order to build quantum networks, a complete overhaul of classical infrastructure is not necessary and makes transitioning to quantum networks more efficient and cost effective.
–––––––––––––––––––––––––
For more details on how qubits work, please see the white paper Qubits: Understanding Quantum Information
–––––––––––––––––––––––––
A few fundamental properties define how quantum information is represented, manipulated, and shared. Understanding these foundational quantum properties is essential to understanding how quantum networks operate and why they offer new capabilities in computation, sensing, and secure communication.
A classical bit can have a value of zero or a value of one. Qubits, on the other hand, can have a value of zero, one, or some combination of these values. There are infinitely many combinations of these two values. When a qubit or system of multiple qubits is in a combination of values, we say that it is in a superposition of these values.
Take for example a linear polarization-encoded photonic qubit. These qubits either are horizontally polarized, vertically polarized, or in a combination of these two polarizations. In this example, zero could represent horizontal polarization, and one could represent vertical polarization. Before measuring a superposition, it is only possible to know the probabilities of measuring the system in each state. Measuring the superposition “collapses” the system into a single state. In this example, the superposition collapses to horizontal (zero), or vertical (one).
Before a quantum state in superposition is measured, it exists as a set of probabilities: the likelihood of each possible measurement outcome. For a qubit, this means that before measurement, it’s only possible to know the probabilities of finding it in the 0 state or in the 1 state. Once a measurement is made, the superposition collapses and the qubit takes on a definite value of either 0 or 1. In that instant, it behaves like a classical bit with a fixed state.
Because quantum measurement outcomes are probabilistic, it is possible to receive different results when measuring the same superposition states. For example, when the two qubits are both exactly halfway between the 0 and 1 states, measurement of the first qubit may return 0 and measurement of the second qubit may return 1. This randomness is a fundamental feature of quantum mechanics.
Going back to the polarization-encoded photonic qubit example above, before measuring the photonic qubit in a superposition of the two polarizations, it’s only possible to know the probability of measuring the qubit with horizontal polarization and the probability of measuring the qubit with vertical polarization. When the superposition is measured, the only possible result is either horizontal polarization or vertical polarization. It is no longer possible for the state to be in a superposition of the two polarizations. The act of measurement forces the system to be defined.
The graphic below shows optical components, a beam splitter, and two photon detectors. This setup is often used to perform a useful type of measurement on photonic qubits, known as a Bell state measurement. A Bell state measurement distinguishes between specific entangled states of two photons. This enables verification and manipulation of entanglement, and is an important step in quantum networking and Quantum Secure Communication protocols.

–––––––––––––––––––––––––
What is a quantum protocol?
A quantum protocol is made up of the steps taken and the guidelines or rules that are followed in a quantum process. For example, an elementary entanglement generation protocol is going to be a specific set of steps and rules that are followed in order to distribute entanglement between nearby neighboring devices on the network.
–––––––––––––––––––––––––
A useful feature of photonic qubits, especially those with polarization encoding, is that their quantum behavior can be explored using simple tools. For example, polarized sunglasses act like a basic polarization filter. Sunglasses designed to block horizontally polarized light and transmit vertically polarized light effectively “measure” the polarization of incoming photons: some pass through the lens, and others are absorbed. Because most light consists of photons in a superposition of polarization states, about half of the light intensity is typically blocked, shading your eyes from the brightness of the sun.

In quantum terms, the orientation of the lens, or filter, defines the measurement basis: the set of reference states used to determine the photon’s polarization. Measuring in the horizontal / vertical basis distinguishes between horizontal and vertical polarization, while rotating the filter by 45 degrees changes the measurement basis to distinguish between +45° and –45° polarizations instead. Adding or rotating multiple polarization filters changes how much light is transmitted through the filters. This illustrates how successive quantum measurements can alter outcomes depending on the measurement basis used. Polarized sunglasses are a practical application of quantum principles, demonstrating how the act of measurement and the choice of basis determines what is observed, or how much sunlight is blocked by the lenses.
One way to see this in action is to perform the three filter experiment. Imagine you have three polarization filters. The first filter is rotated so that only horizontal polarized light can pass through.The second filter is rotated so that only vertical polarized light can pass through. At this point, no light should make it through the other side of the second filter, as only horizontal light passes through the first filter, but the second filter only allows vertical polarized light to pass through it. Now, imagine placing a third filter between the first and second filters. This “inbetween” filter is rotated 45 degrees, making it polarized halfway between horizontal and vertical. A surprising thing happens when this “inbetween” filter is put into position: some of the light travels through all three lenses! This is a demonstration of superposition because the horizontal light and vertical light are both in an even superposition of +45 degree -45 degree polarization (think 0 and 1 for horizontal and vertical, and the + and - for 45/-45). After the first filter, all light that passes through is horizontal, as horizontally polarized light is in an even superposition of 45/-45. Half the horizontal light passes through the 45 degree filter and now has 45 degree polarization itself. Well, this 45 degree polarization is in an equal superposition of horizontal and vertical polarization, so half of that light will make it through the vertical polarization filter. After passing through the final vertical polarization filter, 1/4 of the original light passes through it instead of none. Our intuition says that adding the third filter should have no effect, but the middle filter changes the state of the light: it doesn’t passively block light, it actively rotates the polarization into a state that can then pass through the final filter. This hands-on optical setup is a simple, inexpensive way to see quantum superposition in action.
Qubits can be coupled together in such a way that the state of one qubit is directly correlated to the state of another qubit. When two or more qubits are correlated in this way, they are entangled. When one of these entangled qubits is measured, it instantaneously affects the probability of the measurement outcomes of the other entangled qubit(s), even if these qubits are many light years apart. This is exactly the “spooky action at a distance” that Einstein (and many other physicists in the early 20th century) disagreed with.
Measuring one qubit will affect the state of a qubit that it is entangled with faster than light can travel between them. While this does not mean that entanglement can be used for faster than speed of light communication, the use of entanglement for communication of classical information or quantum information does have many incredible benefits.
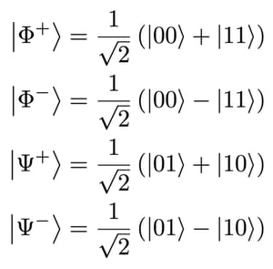
The canonical example of entangled states is the Bell states, which represent the four maximally entangled two-qubit states.

Before measuring, the qubits do not have a definite value and either qubit may be found to be a 0 or 1 after measurement. Measuring one of the entangled qubits will determine the state of the other qubit. For example, we'll consider either of the Bell states where the qubits are in a superposition of the one and zero states. This scenario is represented by the first and second states shown above (the Phi+ and Phi- states). Both qubits will be in the same state when measured. So if the outcome of measuring a qubit is zero, it is certain that when the other qubit is measured, the result will be zero. Similarly, if the outcome of measuring a qubit is one, it is certain that when the other qubit is measured, the result will be one.
The act of measuring either of the entangled qubits changes the state of both qubits: the superposition collapses into a definite, classical outcome. This property of entangled systems (measurement disturbs a shared quantum state) is used in many ways in entanglement-based quantum networks, but one novel way is in the detection of eavesdroppers. Eavesdroppers must measure qubits in order to obtain the information they contain, but this act of measurement unavoidably alters the qubits in a detectable way. This principle is explored further later in this report.
What does it mean to use up or consume entanglement as a resource?
In entanglement-based applications, entangled qubits are used up like a resource. To use the entangled qubits for an application (such as computation or communications), they must be measured. Once measured, they are no longer entangled. Entangled states can't be reused once measured, so this is why entanglement is viewed as a resource in any entanglement-based applications: it is consumed through the process of measurement.
How is entanglement used in entanglement-based quantum networks?
Entanglement (together with other nonclassical resources) enables the speedups we associate with quantum advantage. Similarly, quantum networks utilize entanglement to achieve levels of performance and enable capabilities that cannot be matched by their classical counterparts, or by quantum networks that do not distribute entanglement. Entanglement-based quantum networks distribute entanglement that is then used to scale quantum computers for faster computation, interconnect quantum sensors for ultra-precise measurements, and to achieve the highest level of communications security for classical and quantum information.
Entanglement-based quantum networks connect quantum devices by distributing entanglement between them. This shared entanglement is then used to run powerful end user applications in quantum computing, quantum sensing, and quantum communications. To do this effectively and efficiently, entanglement-based quantum networks must meet several important goals:
What are the limitations of using entanglement for long distance quantum communication?
There are some challenges that arise with longer distance communication that shorter distance communications do not have. One challenge is loss: single photons getting lost in transit. Loss increases exponentially with fiber length: as the quantum channel gets longer, the probability of a single photon surviving the journey drops exponentially.
Photonic qubits need to reach their intended destinations in order to distribute entanglement and actually run any of the desired quantum applications. When photon loss occurs, it impacts fidelity and throughput (the rate of message delivery). Detecting photon loss and the ability to retransmit the lost information mitigates the impact of this challenge.
Another challenge is noise: the environment factors that cause a degradation in the quality of qubits or entanglement. Mitigating and accounting for noise becomes more difficult as the size of the network increases: more noise compounds. One way to mitigate the impact of noise is to perform entanglement purification. There is a tradeoff between throughput and using entanglement purification to improve fidelity: as more entangled pairs are needed to perform the purification protocol, the fewer pairs there are for the desired application. The appropriate amount of entanglement purification maintains the necessary fidelity and throughput required by the end user.
While these are challenges that become more prevalent as the size of our network increases, these obstacles aren't insurmountable. Even today, there are some larger quantum network projects underway, and they'll be able to run important applications even in the face of these obstacles. As our hardware, software, protocols, and more continue to develop, it will become easier and easier to overcome these challenges.
Successful quantum networks require careful selection of hardware, software, protocols, network topology, and other logistical decisions. There are many factors to consider in the design process, such as the choice of quantum repeaters, photon sources, memory coherence times, and routing strategies that must be optimized together. Using a quantum network simulator is vital for making the design process more efficient, reliable, and cost effective.
There are three main processes that first generation quantum repeaters use to distribute entanglement:

Elementary entanglement generation (EEG). Entanglement is distributed between nearby quantum nodes. There are many protocols (even families of protocols) for performing EEG. The example in the image below depicts a meet-in-the-middle scheme at a high level.

In this type of EEG setup, a photonic qubit is first entangled with a stationary qubit that is inside a local quantum device.This is done at each of the two nodes requiring an entangled link. In the graphics above, image 1 shows two nodes, each containing 2 stationary qubits that are entangled. Next, the entangled photons from each device are sent to a Bell state measurement station (shown in red above, with red arrows indicating the path of the photons). When a state measurement is performed on these two photonic qubits, the two stationary qubits that remained with the original quantum devices become entangled to one another. This is represented by the two entangled particles at each node in image 2. The photonic qubits that have been measured are now essentially classical bits, and are no longer used.
Another common scheme for achieving elementary entanglement generation is a midpoint source setup. In this arrangement, an entangled pair is created at a single midpoint, such as a node containing a nonlinear crystal. The nonlinear crystal generates entangled photonic qubits. The entangled qubits are then routed/transmitted to the desired nearby nodes.
Entanglement swapping. In this step, two entangled pairs at shorter distances are used to create one longer distance entangled pair. Two entangled pairs of qubits are featured in the image below. One qubit from each pair is at the midpoint node. By performing a Bell state measurement on the two qubits at the midpoint node, the two distant qubits will become entangled with one another.

This process is similar to the meet-in-the-middle EEG scheme discussed above. Pictured in image 1 are three nodes: the node at the center contains the qubits that are entangled with the nodes on either side of it. Image 2 shows that after measuring these qubits at the center node, the two distant nodes are now entangled.
Entanglement purification. In this step, multiple pairs of entangled qubits with lower fidelity (pictured below in image 1) are used to create a single entangled pair of qubits with higher fidelity (pictured in image 2 below.) Purification protocols require a certain level of fidelity for each entangled state, so we need to use purification often to ensure that fidelity has not degraded too much before entanglement purification is performed.

Qubits are fragile and the quality of their quantum information (the fidelity of the entanglement) decays due to noise. Noise refers to the different factors that can cause loss of quantum information: environmental factors (such as temperature), manufacturing defects in components, or natural physical processes. End-user applications and their underlying primitives typically require a minimum level of fidelity. Entanglement purification can raise fidelity and mitigate noise. However, because purification itself requires a minimum fidelity to be effective, we might need to run it early and often throughout the entanglement distribution process.
Entanglement purification is performed many times throughout the process of entanglement distribution, and there are many different purification protocols that can be used, depending on the specific needs of the quantum network.
To understand how these processes work in a quantum network, we’ll walk through a relatively simple entanglement distribution between two distant end nodes. While this example gives insight into how first generation quantum repeaters work, real-world networks will have much greater complexity. In this example, there are five nodes: two end users, Alice and Bob, and three intermediary nodes of 1G quantum repeaters connecting them, resulting in a single, high-fidelity entanglement link between Alice and Bob.

The first step is to perform EEG to distribute entanglement between each pair of neighboring nodes. As shown in the image below, this results in entanglement between:

Entanglement must be distributed between neighboring nodes before any entanglement swapping can be performed.
Multiple elementary entanglement generation links between each pair of neighboring nodes might be required in order to perform entanglement purification. For example, elementary entanglement generation could be performed multiple times at the link between Alice and Repeater1; those multiple entangled pairs can then be used to create one high quality, high fidelity, entanglement link between Alice and Repeater1.
–––––––––––––––––––––
Note: It may be necessary to perform elementary entanglement generation multiple times in order to perform entanglement purification, ensuring fidelity is maintained at a high enough level for Alice and Bob to make use of the distributed entanglement for their application, such as secure communications. It is also likely that entanglement purification will be performed multiple times in order to provide Alice and Bob with high fidelity entangled pairs.
–––––––––––––––––––––
Now that entanglement has been created between each pair of neighboring nodes, entanglement swapping can be performed to extend the entangled link.
Entanglement swapping at Repeater1 extends entanglement from Alice to Repeater2, which is closer to Bob.

Entanglement swapping at Repeater3 extends entanglement from Bob to Repeater2, which is closer to Alice.

–––––––––––––––––––––
It's important to note that the entanglement swapping that resulted in Alice and Bob extending their respective entanglement to Repeater 2 could be performed at the same time or in a different order than the example here.
–––––––––––––––––––––
The final entanglement swap at Repeater2 will then essentially “stitch” the entanglement link between Alice and Repeater2 to the entanglement link between Bob and Repeater 2.

This swap creates entanglement between Alice and Bob.

Entanglement purification will be performed throughout this process in order to maintain the quality of the entanglement. In addition, the process of creating entanglement between Alice and Bob may be performed many times, so Alice and Bob could share multiple entangled pairs.
To distribute entanglement across a network, a certain set of components is required.
At the hardware level, entanglement distribution relies on photon sources, single photon detectors, and optical components such as beam splitters. Entangled photon sources, typically based on nonlinear optical processes, generate entangled photon pairs that can be shared between nodes. As quantum hardware continues to mature, these components will evolve into first-, second-, and third-generation quantum repeaters, with improved metrics for distance, throughput, and error correction capabilities. All quantum repeater generations have the same goal: to enable high-fidelity, high throughput of entanglement distribution over long distances.

At the software level, control and orchestration software is necessary to run, manage, and use the quantum network. Software enables centralized control over distributed quantum systems, coordinating hardware resources, scheduling entanglement generation, and managing routing and retransmission of quantum information. In addition to this, orchestration also schedules at higher layers of the quantum network stack, such as the applications themselves. Without orchestration software, each device in the network would require manual configuration.

This would be an impractical task even for small-scale networks. The orchestrator automates complex processes such as:
Together, these hardware and software components form the foundations of entanglement-based quantum networks, enabling secure communications, distributed quantum computing, and networked quantum sensing.
The three major classes of quantum network use cases are: distributed quantum computing, distributed quantum sensing, and Quantum Secure Communication (QSC). Some great applications are already available today, and many more will be developed as quantum networks scale.
Quantum secure communication is a family of security solutions enabled by entanglement-based quantum networks. Entanglement can be used to provide additional security when communicating information. For example, when implemented correctly, entanglement-based key generation provides information-theoretic security: communications remain secure even against an adversary with unlimited classical or quantum computational power.
A practical benefit of quantum networking is the ability to detect eavesdroppers. In the entanglement-based quantum key distribution protocol BBM92, Alice and Bob measure halves of entangled pairs in randomly chosen bases. Any attempt to intercept or copy the quantum states introduces errors, and increases the Quantum Bit Error Rate, or QBER. A subset of entangled pairs can be dedicated to estimating QBER, and if it exceeds a certain threshold, the communications can be aborted. This is how the network becomes tamper-evident. These QBER test results can also inform routing and operations; traffic can be re-keyed or rerouted over paths that have healthy entanglement fidelity while a suspicious segment is being investigated.
Once enough high-fidelity entanglement has been distributed to the endpoints, it can be used as a resource. For example, quantum teleportation is an entanglement-based protocol that transfers an unknown quantum state from one device to another without sending the physical qubit through the network. To perform teleportation, entanglement is consumed.
In the illustration below, Alice (left) and Bob (right) share an entangled pair. Alice holds an additional qubit whose state she wants Bob to receive.

Teleportation works as follows:
After teleportation is performed, the entanglement has been consumed, and Bob now has the qubit.

Many distributed quantum applications require communication of quantum information between devices. Teleportation is the protocol we would use to do just this. The way in which information is sent via teleportation also has useful properties for cyber security purposes.Quantum teleportation is an entanglement based protocol, an application that utilizes distributed entanglement to communicate quantum information across the network, without ever sending the information itself across the network. The way in which information is sent via teleportation also has useful properties for cyber security purposes. Even if intermediary nodes between communicating users becomes compromised, the quantum information being sent between them will not be. In this way, the security of quantum information being sent is said to be device independent.
Distributed quantum computing (DQC) connects multiple quantum processing units (QPUs) via an entanglement-based network so they can act as a larger, virtual quantum computer. The QPUs may be co-located in rack, room, or warehouse, or separated by longer distances. In both cases, the QPUs share entanglement in order to coordinate operations and move quantum states between devices. Interconnecting the QPUs enables qubit counts to scale beyond a single devices’ limits by partitioning algorithms across several QPUs.
There are many known amazing applications of distributed quantum computing, such as clustered quantum and blind quantum computing.
Clustered quantum computing is the quantum analog of classical clustered computing and supercomputing. Essentially, this involves networking QPUs to create a large quantum computer, or multiple smaller quantum computers, in order to meet resource needs, such as quantum algorithms that require many more qubits than individual quantum computers have access to.
Clustered quantum computers typically need to communicate consistently and efficiently with other quantum computers in the system; teleportation can be used to accomplish this. Entanglement is also often needed in order to apply certain types of distributed gates or operations on qubits for distributed quantum computing. Clustered quantum computing is an example of the power of a small scale quantum network, and these systems will likely live in a single room or in a single warehouse.
Blind quantum computing has no exact classical analog. It is a provably-secure, cloud-based quantum computing service in which a client uses a powerful remote quantum computer system while keeping the algorithm, data, and results hidden from the provider. Building large-scale, fault-tolerant QPUs is costly; many users will connect to remote systems. Blind quantum computing adds the benefit that highly sensitive inputs (IP, government/defense data, medical information, and financial data) can be processed without exposing them to the provider or potential eavesdroppers.
Distributed quantum sensing is the connection of multiple quantum sensors using an entanglement-based quantum network. The sensors themselves can be co-located or far apart. Connected by shared entanglement, these sensors act as a coordinated measurement system that can achieve much greater accuracy, sensitivity, and precision than individual quantum sensors or networked classical sensors can achieve.
At a high level, distributed quantum sensing works by first entangling a state that is shared by a system of multiple sensors. The network then interrogates the state by measuring it, and processes the measurement data to obtain or infer information.
Quantum sensors are a more mature quantum technology, and there are many known applications for distributed quantum sensing. For example, the most precise atomic clocks are quantum clocks. Atomic clocks are used in a wide variety of use cases, such as Global Positioning Systems (GPS), telecommunications, financial systems, and even in sporting events. Recent experiments have shown that distributed quantum clocks, which are quantum clocks connected together by entanglement, achieve much greater precision than individual quantum clocks. For example, Argonne National Labs recently found 3.5 times greater precision with a distributed quantum clock set up, versus a similar set up that only used individual quantum clocks. More precise atomic clocks will improve the performance of the existing applications that they are used for, and enable new applications as well. Another exciting application of distributed quantum sensing is long baseline interferometry, in which multiple telescopes are networked together via shared entanglement to achieve much higher resolution images. Many amazing applications will be developed as the technology continues to scale.
Entanglement-based secure networks are being built today by a variety of organizations for a variety of use cases, benefiting organizations internally as well as providing great value to an organization’s customers. Telecommunications companies, national research labs, intelligence organizations, and systems integrators are just a few examples of the organizations Aliro is helping to leverage quantum networking.
Building entanglement-based quantum networks is no easy task. It requires:
This may seem overwhelming, but Aliro is uniquely positioned to help you build your quantum network. The steps you can take to ensure your organization is meeting the challenges and leveraging the benefits of the quantum revolution are part of a clear, unified solution already at work in quantum networks like the EPB Quantum Network℠ in Chattanooga, Tennessee.
AliroNet™, the world’s first full-stack entanglement-based quantum network solution, consists of the software and services necessary to ensure customers will fully meet their quantum networking goals. Each component within AliroNet™ is built from the ground up to be compatible and optimal with quantum networks of any scale and architecture. AliroNet™ is used to simulate, design, run, and manage quantum networks as well as test, verify, and optimize quantum hardware for network performance. AliroNet™ leverages the expertise of Aliro personnel in order to ensure that customers get the most value out of the software and their investment.
Depending on where customers are in their quantum networking journeys, AliroNet™ is available in three modes that create a clear path toward building full-scale entanglement-based secure networks: (1) Emulation Mode, for emulating, designing, and validating quantum networks, (2) Pilot Mode for implementing a small-scale quantum network testbed, and (3) Deployment Mode for scaling quantum networks and integrating end-to-end applications.
AliroNet™ has been developed by a team of world-class experts in quantum physics and classical networking.
To get started (or continue on your quantum journey), reach out to the Aliro team for additional information on how AliroNet™ can enable your quantum network.